The photos you provided may be used to improve Bing image processing services.
Privacy Policy
|
Terms of Use
Can't use this link. Check that your link starts with 'http://' or 'https://' to try again.
Unable to process this search. Please try a different image or keywords.
Try Visual Search
Search, identify objects and text, translate, or solve problems using an image
Drag one or more images here,
upload an image
or
open camera
Drop images here to start your search
To use Visual Search, enable the camera in this browser
Gaeilge
All
Search
Images
Inspiration
Create
Collections
Videos
Maps
News
More
Shopping
Flights
Travel
Notebook
Top suggestions for TJHS Problem Solving Essay
Problem
Solution Essay
Problem
Solution Paper
Problem Solving Essay
Outline
Problem Solving
Rubric
Problem Solving
Process Model
Problem Solving Essay
Examples
Problem Solution Essay
Structure
Problem Solution Essay
Outline Example
Problem
Solution Paragraph
Problem Solution Essay
Topics
Problem
Solution Writing
Critical Thinking
Problem Solving
Problem
Solution Research
Sample Problem
and Solution Paragraph
Problem Solving
Resume
Problem Solution Essay
Template
Descriptive Essay
Graphic Organizer
Problem Solving
Skills
Problem Solution Essay
Format
Problem Solving
Essay. Words
Problem
Solve Paper
Problem Solving
Conclusion
Creative
Problem Solving
5 Step
Problem Solving
Problem Solving
Processes
2nd Grade Math
Problem Solving
Problem
Solution Clip Art
Problem Solution Essay
Introduction
Outlining
Essay
Problem Solving
Systems
An Essay towards
Solving a Problem
College
Problem Solving Essay
Problem Solving Essay
FSW
Write an Argumentative
Essay
Problem
Sollution Essay
Problen Solution
Essay
Problem Solving
Letters
5 Step
Problem Solving Method
Argumentative Essay
Planner
Problem Solving Essay
Examples PDF
Expository Essay
Sample
Problem Solving Essay
Logo
Sample of Persuasive
Essay
Problem
Solution Text Sample
What Is
Problem Solution Essay
Proposing a Solution
Essay
How to Make a
Problem Solution Essay
Problem Solving
Medicine
Problem Solving
PowerPoint
Cause and Solution
Essay
Explore more searches like TJHS Problem Solving Essay
Thesis Statement
Examples
Academic
Text
Creative Thinking
Business Studies
Decision
Making
Sentence
Structure
English for
Grade 1
Reading
Is Like
Scribd Name
Adriano
Templates
Topics
For
Rubric
High School
Samples
Examples
PDF
How
Start
Template
Pte
IELTS
Example
How Do
Create
Conclusion
Manufacturing
Examples
People interested in TJHS Problem Solving Essay also searched for
Soft
Skills
Process
Model
Activity
Worksheets
Process
Chart
Lean Six
Sigma
Concept
Map
Critical
Thinking
Computer
Science
Fun
Activity
Skills
ClipArt
Math
Sheets
2nd Grade
Math
Therapy
Worksheets
Activities
for Kids
Process
Steps
Venn
Diagram
Quotes
About
Graphic
Organizer
Interview
Questions
2
People
Skills
Examples
Scientific
Approach
Root
Cause
Practice
Questions
Mind
Map
Cognitive
Psychology
Brain
Activities
8D
Steps
Worksheets
for Kids
Anchor
Chart
Creative
Thinking
Icon.png
Analytical
Skills
FlowChart
Symbol
For
Data
Analysis
PowerPoint
Templates
CV
Examples
Assessment
Examples
5
Steps
Worksheets
Math
6
Step
A3
Sara
Sheet
Approach
Autoplay all GIFs
Change autoplay and other image settings here
Autoplay all GIFs
Flip the switch to turn them on
Autoplay GIFs
Image size
All
Small
Medium
Large
Extra large
At least... *
Customized Width
x
Customized Height
px
Please enter a number for Width and Height
Color
All
Color only
Black & white
Type
All
Photograph
Clipart
Line drawing
Animated GIF
Transparent
Layout
All
Square
Wide
Tall
People
All
Just faces
Head & shoulders
Date
All
Past 24 hours
Past week
Past month
Past year
License
All
All Creative Commons
Public domain
Free to share and use
Free to share and use commercially
Free to modify, share, and use
Free to modify, share, and use commercially
Learn more
Clear filters
SafeSearch:
Moderate
Strict
Moderate (default)
Off
Filter
Problem
Solution Essay
Problem
Solution Paper
Problem Solving Essay
Outline
Problem Solving
Rubric
Problem Solving
Process Model
Problem Solving Essay
Examples
Problem Solution Essay
Structure
Problem Solution Essay
Outline Example
Problem
Solution Paragraph
Problem Solution Essay
Topics
Problem
Solution Writing
Critical Thinking
Problem Solving
Problem
Solution Research
Sample Problem
and Solution Paragraph
Problem Solving
Resume
Problem Solution Essay
Template
Descriptive Essay
Graphic Organizer
Problem Solving
Skills
Problem Solution Essay
Format
Problem Solving
Essay. Words
Problem
Solve Paper
Problem Solving
Conclusion
Creative
Problem Solving
5 Step
Problem Solving
Problem Solving
Processes
2nd Grade Math
Problem Solving
Problem
Solution Clip Art
Problem Solution Essay
Introduction
Outlining
Essay
Problem Solving
Systems
An Essay towards
Solving a Problem
College
Problem Solving Essay
Problem Solving Essay
FSW
Write an Argumentative
Essay
Problem
Sollution Essay
Problen Solution
Essay
Problem Solving
Letters
5 Step
Problem Solving Method
Argumentative Essay
Planner
Problem Solving Essay
Examples PDF
Expository Essay
Sample
Problem Solving Essay
Logo
Sample of Persuasive
Essay
Problem
Solution Text Sample
What Is
Problem Solution Essay
Proposing a Solution
Essay
How to Make a
Problem Solution Essay
Problem Solving
Medicine
Problem Solving
PowerPoint
Cause and Solution
Essay
768×1024
scribd.com
Problem Solving Essay Example | PDF | Epilepsy | Es…
612×792
Academia.edu
(DOC) Problem Solving (Essay)
768×994
studylib.net
Problem-Solving Essay Example: Writing Guide & Tips
180×234
coursehero.com
PROBLEM-SOLVING ESSAY 1 .pdf - IELTS Task 2 PROBLE…
768×1024
scribd.com
Problem Solution Essay | Pedagogy | Learning
766×1084
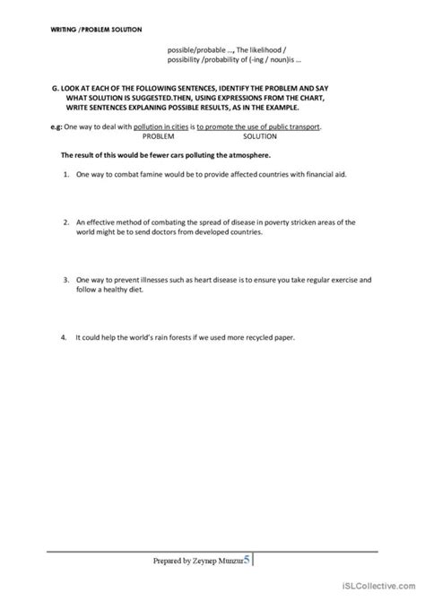
en.islcollective.com
problem solution essay: English ESL worksheets pdf …
1024×1365
samploon.com
≫ Thinking and Problem Solving Skills Free Essay Sa…
Related Searches
Problem Solving Essay
Sentence
Structure
Problem Solving Essay
in
English
for
Grade
1
Essay
of
Reading
Is
Like
Problem Solving
Problem Solving Essay
Scribd
Name
Adriano
768×1024
Scribd
Problem Solving Essay | PDF | English Language | Essays
390×505
examples.com
8+ Problem Solving Essay Examples to Download
452×640
slideshare.net
Problem Solving Essay Example | PDF
768×1024
scribd.com
Problem Solving Essays: 5 Easy Steps to Choose the Be…
Related Searches
Problem Solving
Soft
Skills
Problem Solving
Process
Model
Problem Solving
Activity
Worksheets
Problem Solving
Process
Chart
766×1084
en.islcollective.com
problem solution essay: English ESL worksheets pdf …
1080×1080
masterpiecek12.org
Why Masterpiece Academy is the Best Choice for TJHSST …
768×1024
scribd.com
Problem Solution Essay Template | PDF | Cognition | …
390×505
examples.com
8+ Problem Solving Essay Examples to Download
Related Searches
Thesis
Statement
Examples
Problem Solving Essay
Problem Solving Essay
Academic
Text
Essay Problem Solving
and
Creative
Thinking
in
Business
Studies
Problem Solving
and
Decision
-
Making
Essay
900×600
farasaze.co
Problem Solving Skills | Books & Thesis
800×1160
ivypanda.com
Problem Solving Skills Training - 1353 Words | Essa…
1200×1553
studocu.com
Problem Solving Topics For Essay - Problem Solving Tec…
1024×1035
studyhippo.com
Problem Solving, Reasoning and Numeracy Essay Exampl…
768×1024
scribd.com
Overcoming Problems Through Solutions: A Guide t…
390×505
examples.com
8+ Problem Solving Essay Examples to Download
800×1160
ivypanda.com
Experience in Problem Solving - 488 Words | Essay Example
638×903
slideshare.net
Problem Solving Essay Example | PDF
766×1084
en.islcollective.com
problem solution essay: English ESL worksheets pdf …
1532×2167
en.islcollective.com
problem solution essay: English ESL worksheets pdf …
800×600
mypresentation.ru
Problem-solving essay - презентация, доклад, проек…
1024×1060
phdessay.com
Problem-Solving Essay (500 Words) - PHDessay.com
1024×1240
phdessay.com
The Problem-Solving Process Essay - PHDessay.com
580×280
examples.com
8+ Problem Solving Essay Examples to Download
480×360
tjtestprep.com
TJHSST REAL 2022 Admissions Assessment Pro…
1024×1339
phdessay.com
Essay On Problem Solving Techniques Used By Few Or…
300×300
edusson.com
How to Write a Problem-Solution Essay that Inspires …
766×1084
en.islcollective.com
problem solution essay: English ESL worksheets pdf …
766×1084
en.islcollective.com
problem solution essay: English ESL worksheets pdf …
400×518
studentshare.org
Problem solving Essay Example | Topics and Well W…
Some results have been hidden because they may be inaccessible to you.
Show inaccessible results
Report an inappropriate content
Please select one of the options below.
Not Relevant
Offensive
Adult
Child Sexual Abuse
Feedback