The photos you provided may be used to improve Bing image processing services.
Privacy Policy
|
Terms of Use
Can't use this link. Check that your link starts with 'http://' or 'https://' to try again.
Unable to process this search. Please try a different image or keywords.
Try Visual Search
Search, identify objects and text, translate, or solve problems using an image
Drag one or more images here,
upload an image
or
open camera
Drop images here to start your search
To use Visual Search, enable the camera in this browser
All
Search
Images
Inspiration
Create
Collections
Videos
Maps
News
Copilot
More
Shopping
Flights
Travel
Notebook
Top suggestions for Kalman Filter Multidimensional Solved Problems
Kalman Filter
Example
Adaptive
Kalman Filter
Kalman Filter
Book
Kalman Filtering
Kalman Filter
Equations
Kalman Filter
Diagram
Kalman Filter
Flowchart
Kalman Filter
Matrix
Extended Kalman Filter
Equations
Kalman Filter
Icon
Kalman Filter
in Radar
Kalman Filter
PPT
Kalman Filter
Meme
Kalman Filter
Block Diagram
What Is a
Kalman Filter
Discrete
Kalman Filter
Kalman Filter
Residual
Kalman Filter
Paper
Ekf
Kalman Filter
Kalman
Algorithm
Ensemble
Kalman Filter
Kalman Filter
Simple
UKF
Kalman Filter
Particle
Filter
Kalman Filter
Ellipse
Kalman Filter
Flow Diagram
Kalman Filter
Arduino
Adapative
Kalman Filter
Kalman Filter
Illustration
Kalman Filter
and IMM
Kalman
Smoother
Dual Extended
Kalman Filter
Six State
Kalman Filter
Kalman Filter
Matrices
Filtre De
Kalman
Kalman Filter
Ai
Distributed
Kalman Filter
Rumus
Kalman Filter
Kalman Filter
R
Kalman Filter
Cycle
Joseph Form
Kalman Filter
3D
Kalman Filter
Singer Model
Kalman Filter
Kalman Filter
From the Ground Up
Kalman Filter
Schematics
Kalman Filter
Photography
Kalman Filter
Fahrzeug
Kalman Filter
Observer Foc
Kalman Filter
Smartwatch
Mesh
Kalman Filter
Explore more searches like Kalman Filter Multidimensional Solved Problems
Algorithm
Diagram
Flow
Diagram
Smartwatch
Computer
Vision
FlowChart
Icon.png
Block
Diagram
Project
Model
Ground Up
Book
Cheat
Sheet
Simple
Example
Algorithm
Icon
Face
Detection
Singer
Model
What
is
Innovation
Matrix
Signal
Processing
Application
Example
What Is
Blue
Schneider
plc
Circuit
Schematic
Schematic/Diagram
Basic
Diagram
Feedback Loop
System
Mathematical
Model
Heart
Rate
2D
Grid
Neural
Network
Satwa
Continuous
Three-Axis
Navigation
LFP
Battery
CS70
PPT
Exemple
GBR
Cartoon
Position
Imre
Control
System
Aurix
PPU
People interested in Kalman Filter Multidimensional Solved Problems also searched for
Different
Types
Electrical
Engineering
Monte
Carlo
State Space
Model
Variance
Ship
Roll
Student
Dave
Steady
State
GPS
Accuracy
Geometric
Applying
Force
Sensor
Rolling
PCA
Figure
Paper
Arduino
Simple
For Optical
Flow
Autoplay all GIFs
Change autoplay and other image settings here
Autoplay all GIFs
Flip the switch to turn them on
Autoplay GIFs
Image size
All
Small
Medium
Large
Extra large
At least... *
Customized Width
x
Customized Height
px
Please enter a number for Width and Height
Color
All
Color only
Black & white
Type
All
Photograph
Clipart
Line drawing
Animated GIF
Transparent
Layout
All
Square
Wide
Tall
People
All
Just faces
Head & shoulders
Date
All
Past 24 hours
Past week
Past month
Past year
License
All
All Creative Commons
Public domain
Free to share and use
Free to share and use commercially
Free to modify, share, and use
Free to modify, share, and use commercially
Learn more
Clear filters
SafeSearch:
Moderate
Strict
Moderate (default)
Off
Filter
Kalman Filter
Example
Adaptive
Kalman Filter
Kalman Filter
Book
Kalman Filtering
Kalman Filter
Equations
Kalman Filter
Diagram
Kalman Filter
Flowchart
Kalman Filter
Matrix
Extended Kalman Filter
Equations
Kalman Filter
Icon
Kalman Filter
in Radar
Kalman Filter
PPT
Kalman Filter
Meme
Kalman Filter
Block Diagram
What Is a
Kalman Filter
Discrete
Kalman Filter
Kalman Filter
Residual
Kalman Filter
Paper
Ekf
Kalman Filter
Kalman
Algorithm
Ensemble
Kalman Filter
Kalman Filter
Simple
UKF
Kalman Filter
Particle
Filter
Kalman Filter
Ellipse
Kalman Filter
Flow Diagram
Kalman Filter
Arduino
Adapative
Kalman Filter
Kalman Filter
Illustration
Kalman Filter
and IMM
Kalman
Smoother
Dual Extended
Kalman Filter
Six State
Kalman Filter
Kalman Filter
Matrices
Filtre De
Kalman
Kalman Filter
Ai
Distributed
Kalman Filter
Rumus
Kalman Filter
Kalman Filter
R
Kalman Filter
Cycle
Joseph Form
Kalman Filter
3D
Kalman Filter
Singer Model
Kalman Filter
Kalman Filter
From the Ground Up
Kalman Filter
Schematics
Kalman Filter
Photography
Kalman Filter
Fahrzeug
Kalman Filter
Observer Foc
Kalman Filter
Smartwatch
Mesh
Kalman Filter
13:07
YouTube > Michel van Biezen
Special Topics - The Kalman Filter (7 of 55) The Multi-Dimension Model 1
YouTube · Michel van Biezen · 195.7K views · Oct 25, 2015
570×912
chegg.com
Solved Multivariate Ka…
1910×1080
chegg.com
Solved Problem 1: Extended Kalman Filter [4 pts] Assume that | Chegg.com
1088×749
chegg.com
Solved 1 Problem : Kalman filter Consider the following | Chegg.co…
Related Products
Kalman Filter Book
Extended Kalman Filter
Unscented Kalman Filter
768×1024
scribd.com
KF_05_MULTIDI…
837×427
chegg.com
Solved Kalman filter example: analytical and computational | Chegg.com
772×483
chegg.com
Solved Problem 1: Extended Kalman Filter [4 pts] Assume that | Chegg.com
320×320
researchgate.net
Design of Processing Element | Download Sc…
829×1024
chegg.com
Solved Problem 1 (Extended Kalma…
492×893
chegg.com
Solved Problem 1: Kalman Filte…
765×255
researchgate.net
Structure of proposed multi-dimensional Kalman filter | Download ...
632×497
chegg.com
Problem 2: Kalman Filter Localization - Free Fall …
696×502
chegg.com
Problem 3 (A Kalman Filter Derivation). Let X., W., | Ch…
952×312
chegg.com
Solved Design a Kalman Filter for the system | Chegg.com
Explore more searches like
Kalman Filter
Multidimensional Solved Problems
Algorithm Diagram
Flow Diagram
Smartwatch
Computer Vision
FlowChart
Icon.png
Block Diagram
Project Model
Ground Up Book
Cheat Sheet
Simple Example
Algorithm Icon
1468×784
chegg.com
Solved Problem 2 : Kalman Filter Design(10 points) | Chegg.com
1420×1117
chegg.com
Solved FLOPS of Kalman and particle filtersConsider the | C…
1024×768
SlideServe
PPT - Kalman filter and SLAM problem PowerPoint Presentation, free ...
1024×768
SlideServe
PPT - Kalman filter and SLAM problem PowerPoint Presentati…
811×445
wirelesspi.com
The Easiest Tutorial on Kalman Filter | Wireless Pi
957×698
www.reddit.com
Textbook Reference for Kalman Filter : r/ControlTheory
751×828
ResearchGate
Understanding the term in the Kalma…
692×878
chegg.com
Problem 2 (A Kalman Filter D…
932×762
chegg.com
Solved Please carry out the Kalman filtering process | …
1157×1714
chegg.com
Solved Q2. Apply an obs…
515×643
chegg.com
Solved The Kalman Filter | P…
972×889
chegg.com
Solved (a) Hand Derivation of Kalman filt…
640×360
resourcium.org
Kalman Filter | Resourcium
816×523
github.com
GitHub - Walid-khaled/Multidimensional-Kalman-Filt…
633×714
chegg.com
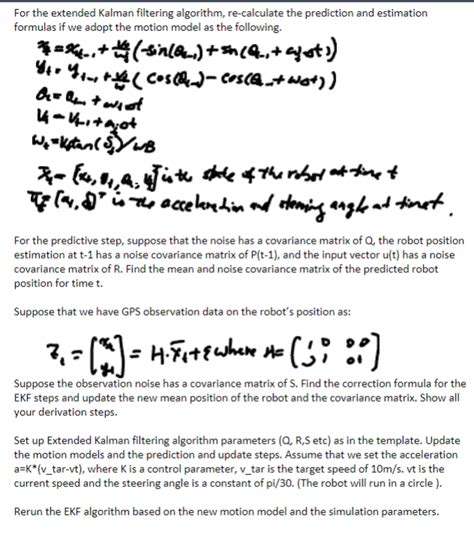
Solved For the extended Kalm…
968×345
chegg.com
Solved (4) Consider the following Kalman filtering problem: | Chegg.com
2360×1640
chegg.com
Solved Problem 1: Extended Kalman Filter[5 pts] As…
951×843
chegg.com
Solved Prob. #5 Kalman filter Consid…
1179×663
analyticsvidhya.com
Understanding Kalman Filter for Computer Vision
People interested in
Kalman Filter
Multidimensional Solved Problems
also searched for
Different Types
Electrical Engineering
Monte Carlo
State Space Model
Variance
Ship Roll
Student Dave
Steady State
GPS Accuracy
Geometric
Applying
Force Sensor
591×550
chegg.com
Solved Initial conditions for Extended Kalman filter | Che…
329×405
www.reddit.com
Trying to implement a Kalman Filter in matl…
Some results have been hidden because they may be inaccessible to you.
Show inaccessible results
Report an inappropriate content
Please select one of the options below.
Not Relevant
Offensive
Adult
Child Sexual Abuse
Feedback